Posts

Showing posts from January, 2010

javascript - I am trying to get current date with form select option and display next seven days on submit -

If current date is 3/11/14 and user raises on Wednesday 3/12/14, 3/19 / 14, 3/26/14, 4/2/14, 4/9/14, 4/16/14 should be printed. HTML & lt; Div class = "farm group" & gt; & Lt; Select ID = "Select" placeholder = "week's favorite day" & gt; & Lt; Option selected = "selected" & gt; & Lt; / Option & gt; & Lt; Option value = "1" & gt; Monday & lt; / Options & gt; & Lt; Option value = "2" & gt; Tuesday & lt; / Options & gt; & Lt; Option value = "3" & gt; Wednesday & lt; / Options & gt; & Lt; Option value = "4" & gt; Thursday & lt; / Options & gt; & Lt; Option value = "5" & gt; Friday & lt; / Options & gt; & Lt; Option value = "6" & gt; Saturday & lt; / Options & gt; & Lt; Option value = "7" & gt; Sunday & lt; / Options & gt; ...

css - Custom font not rendering while click on select menu (dropdown) -

Image
I have added custom font (font-family: 'verbidium') for my layout if I come naturally , Then selecting the menu while selecting the unwanted charactors (please see attached picture) after drop down. Try to Replace Manually" Click the Chrome menu on the browser toolbar. Choose Tools - & gt; Select encoding. Select one of the listed encodings or locate Auto. If you choose to auto detect, Google Chrome suggests the most appropriate encoding to analyze the content on the page. For the fastest browsing experience, turn off the address mode automatically after leaving the webpage. You can also change the preferred fonts and languages ​​used to load your webpage.

regex - Creating a conditional to validate Email addresses -

I have used a preg_match based 'regex' in a PHP script which I use. Regex is ^ [\ w .-] + @ [\ w .-] + \. [AZA-Z] {2,6} $ How can I include it in a bet condition to test the email address for the original structure? My email address is in a file called 'email' (it is looped as it is necessary). Like if [cat email | '/^[\w-]+@[\w-]+\.[A-Za-z] {2,6} $ /']; Then {{/ code> or whatever, I do not know how to write it. Anyone can help you ... Using your regular expression and assigning it to bash variable email : #! To test the address in / bin / bash if [[$ $ email = ~ ^ [[: alnum:] _ -] + @ [[:: alnum:] _.-] + \. [[Alpha:]] {2,6} $]] Then "good address" echo resonance "bad address" fix Note: It uses [[...]] so that a simple POSIX will not open: bash or better needed. = ~ operator matches a string, in this case the email address, a POSIX extended regular expression The actual specificity for the email a...

php - How to deploy laravel Application so that url doesn't contain '/public/index' -

I have a larval application in which a public file contains an index file that I can get by using the following url : myIpAddress / teamsync / public / index But I want to use the url like this: MyIpAddress / teamsync to access my index file. Perhaps the best way to remove / public / is. . Setting up your virtual host configuration file to set the / public directory as the root document. It kills a stone with a bird, so you can set yoursitename.com as the root of Laravel, but you can take sensitive back-end files away from the www root folder Are there. & lt; VirtualHost *: 80 & gt; Servername MySaer Document Corrections / var / www / yourproject / public server alias www.example.com & lt; / VirtualHost & gt; How to use virtual hosts: With Apache: with NGX:

c++ - Odd behavior with std::async -

निम्नलिखित नमूना कोड पर विचार करें: #include & lt; future & gt; # शामिल करें & lt; सरणी & gt; # शामिल करें & lt; cassert & gt; Typedef std :: सरणी & lt; int, 5 & gt; foo_t; Foo_t * बार (foo_t और amp; foo) {वापसी और amp; foo; } Int main () {foo_t foo; ऑटो a = std :: async (बार, foo); ऑटो b = std :: async (बार, foo); जोर दें (a.get () == बी.गेट ()); वापसी 0; } जीसीसी 4.6.3 कोई शिकायत नहीं के साथ यह संकलित। हालांकि, ये रनटाइम में विफल रहता है: test: test.cpp: 15: int main (): आक्षेप `a.get () == b.get () 'विफल हुआ निरस्त (कोर डंप) जीसीसी 4.8.2, हालांकि, फ़ाइल को संकलित करने से मना कर दिया: फ़ाइल में / usr / local / include / c ++ / 4.8.2 / भविष्य: 38: 0, test.cpp से: 1: /usr/local/include/c++/4.8.2/functional: 'struct std :: _ Bind_simple & lt; std :: arrays & lt; int के तत्काल में , 5ul & gt; * (* (* std :: array & lt; int, 5ul & gt;)) (std :: arrays & lt; int, 5ul & gt; & amp;) & gt; ': /u...

python - Numpy matrix must be 2-dimensional error -

मेरे पास निम्न कोड है: np def J के रूप में आयात करें (x, y ): वापसी np.matrix ([[8- (4 * y), -4 * y], [y, -5 + x]]) x_0 = np.matrix ([[1], [1]]) परीक्षण = J (x_0 [0], x_0 [1]) जब मैं इसे चलाने के लिए जाता हूं मुझे निम्न त्रुटि मिलती है: ट्रेसबैक (सबसे हालिया अंतिम कॉल करें): फ़ाइल "broyden.py", पंक्ति 15, & lt; मॉड्यूल & gt; परीक्षण = जे (x_0 [0] [0], x_0 [1] [0]) फ़ाइल "broyden.py", पंक्ति 12, जे रिटर्न np.matrix ([[8- (4 * y), -4 * Y], [y, -5 + x]]) फ़ाइल "/home/collin/anaconda/lib/python2.7/site-packages/numpy/matrixlib/defmatrix.py", पंक्ति 261, में __new__ बढ़ाएँ ValueError (" मैट्रिक्स होना चाहिए 2-आयामी ") ValueError: मैट्रिक्स 2-आयामी होना चाहिए मुझे समझ में नहीं आ रहा है कि मुझे यह त्रुटि क्यों मिल रही है सब कुछ 2-डी प्रतीत होता है। प्रकार x_0 [0] अभी भी numpy.matrixlib.defmatrix.matrix , एक स्केलर मान नहीं है। मैट्रिक्स तत्व के रूप में इलाज के लिए आपको एक स्केल वैल्यू मिलनी चाहिए। इस कोड की कोशिश करें ...

multithreading - How to create Java Thread -

I need to create a Point of Sale application. It has two squares one POS and other bills . POS class bill class & amp; Bill class handles all the arguments to calculate the final bill. There is a requirement that I do not understand An example of class should start the bill POS . Interface must be bill bill = pos.createBill () . code.photoBill () The call should return a new example of the bill class. Bill will be used only in a thread that it was created. I do not know which class should apply the thread and how should I call POS should use Altton

jquery addClass() not working with event.target -

कृपया मदद करें। क्यों jquery addClass () काम नहीं कर रहा है event.target के साथ? मैंने एक कोड बना दिया है और इसे क्लिक करते समय लक्ष्य पर वर्ग जोड़ने चाहिए, लेकिन यह काम नहीं करता है, और यह कहते हैं, e.target.addClass फ़ंक्शन नहीं है। कोड: & lt; html lang = "en" & gt; & Lt; शीर्ष & gt; & lt; मेटा वर्णसेट = "यूटीएफ -8" & gt; & lt; शीर्षक & gt; कक्षा परीक्षण & lt; / title & gt; & lt; script src = "http://code.jquery.com/jquery-1.11.0.min.js" & gt; & lt; / स्क्रिप्ट & gt; & LT; शैली & gt; .big {font-size: 5em; } .small {font-size: 1em; } & Lt; / style & gt; & Lt; / head & gt; & LT; बॉडी & gt; & lt; p & gt; यह टेक्स्ट है & lt; / p & gt; & LT; स्क्रिप्ट & gt; $ (फ़ंक्शन () {$ ("पी") क्लिक करें (फ़ंक्शन (e) {$ ("a")। removeClass ("बड़ा")। addClass ("छोटा"); $ ("यह")। addClass "बड...

java - Screenshot capture in Window 8 OS -

In order to capture the screen shot in my Java application, I wrote the following code Rectangle ScreenTrack = new rectangle (Toolkit.getDefaultToolkit (.) GetScreenSize ()); BufferedImage Capture = New Robot (). CreateScreenCapture (screenRect); ImageIO.write (capture, "PNG", new file ("Resource / IMG / Screenshots")); It is working successfully and captures the screen shot but this window does not work in the operating system. Any other person has to face this type of problem and get it? You can do this without using the following code in your local machine by typing the file byteoinputprost boss = new byteOnputstream (); Byte [] imageByte = null; Try {// Screen to get screen size • Screen rectangle = new rectangle (toolkit .getDefaultToolkit (.) GetScreenSize ()); To store Scanner shot in buffer. BufferedImage Capture = New Robot (.createScreenCapture (screenRect); // Save image to specific location ImageIO.write (capture, "PNG", boss)...

ruby on rails - Need two addition fields to be added in devise form used and saved in different table(invite table) -

I have a sign up form for using Davis in ROR. It requires adding nested form. But I am not able to add it ... anyone can help me to solve it. The form below preserves the user, but I want to add two fields to save it in the invited table. Will ... % H2 sign up = for form_ (s) Means ,: as = & source; Snsadn_nam ,: url = & gt; Panjikrn_path (resource_name)) f | F | = Devise_error_messages! .form-group% div = f.label: first_name ,: class = & gt; "Control-label"% br / = f.text_field: first_name ,: autofocus = & gt; True ,: class = & gt; "Form-control-narrow controls". Form-group% div = f.label: last_name ,: class = & gt; "Control-label"% br / = f.text_field: last_name ,: class = & gt; "Form-Control Narrow Control" .form-groups% div = f.label: email ,: class = & gt; "Control-label"% br / = f.email_field: email ,: class = & gt; "Form-Control Narrow Control"% br / .form-group% div = f.submit ...

javascript - How to detect touchstart and click events and apply css accordingly -

var myVideo = document.getElementById ('myVideo'); Var deviceAgent = navigator.userAgent.toLowerCase (); Var इवेंट = deviceAgent.match (/ (आईफोन | आईपॉड | आईपैड) /)? 'टचस्टार्ट': 'क्लिक'; $ (दस्तावेज़) .on (इवेंट, '.mejs-fullscreen-button', फ़ंक्शन () {if (event == 'click') {// यह यहां क्लिक करें पकड़ने वाला इवेंट} // click of else else {} / / टचस्टार्ट} का अंत); क्लिक या टचस्टार्ट इवेंट के आरंभ होने पर सही तरीके से कैसे मैप करें? अगर (घटना == 'क्लिक') विंडो ब्राउज़र में इसे लिखने के लिए किसी अन्य तरीके से काम नहीं करता है? आपको ईवेंट को अपने फ़ंक्शन पर और इसके बजाय का उपयोग करने की आवश्यकता है: $ (दस्तावेज़) .on (ईवेंट, '। Mejs-fullscreen-button ', फ़ंक्शन (इवेंट) {if (event.type ==' click ') {// यह यहां क्लिक करें पकड़ने को क्लिक नहीं कर सकता है} // क्लिक करें else else को क्लिक करें {} टचस्टार्ट के अंत)};

asp.net - UpdatePanel Repeater ObjectDataSource getting Error -

I have developed an application in which I have used an UpdatePanel, Repeater, and ObjectDataSource. The problem when I was using these three was made to me "Sys.WebForms.PageRequestManagerServerErrorException: An exception has been thrown to the goal of a greeting." The problem has only happened in IE8 and has not gone in the locality. My local meaning is working in IE8, but when I host an application on IIS IE8 created a problem by removing all the browsers to fix all tasks. The code mentioned below & asp: hiddenfield runat = "server" id = "hdnkey" value = "mainAlt" /> & Lt; Qfx: label runat = "server" id = "label 1" css class = "subhiding" text = "term_ share" & gt; & Lt; / qfx: label & gt; & Lt; Asp: Repeater id = "rptShareTypeList" runat = "server" & gt; & Lt; HeaderTemplate & gt; & Lt; / HeaderTemplate & gt; & Lt; ...

c++ - CUDA - thrust::sort on device returns only 0's -

I have run the following emphasis for sorting. The problem is that after thrust :: sort , the output contains all 0 s Please, tell me what is wrong here. #include & lt; Emphasis / host_worker. H> #include & lt; Thrust / device_vector.h & gt; # Include & lt; Emphasis / Copy H & gt; # Include & lt; Emphasis / order & Gt; # Include & lt; Cstdlib & gt; # Include & lt; Iostream & gt; using namespace std; Int main (zero) {emphasis: host_ector & lt; Int & gt; H_vec (32 You are seeing all the reasons 0 s That is that you are generating a large number of random numbers, that is, 32 & lt; & Lt; Between 20 = 33554432 , 0 and RAND_MAX , you are ordering them, but you can only display 32 Are there. As Robert Kowlow mentioned on a Windows machine (working on OP windows), RAND_MAX = 2 ^ 15-1 = 32767 . Accordingly, you are creating between 33554432 integer 0 and 32767 , which means that you have a large nu...

using weka Filter in java code -

I have a problem in using weka api in java There are 41 features (or attributes) in my training and test dataset. I want to take only 25 specialties (for example 1,3,5,7,8,10 .....) and removing classifier and other features during training and testing. I have read the VICA's filter manual available here, but I did not understand how to use the filter in my problem. Can you please help me? How to write code for this situation Your suggestion / assistance will be highly appreciated. My code is such .... import weka.classifiers.meta.filteredClassifier; Import weka.classifiers.trees.J48; Import weka.core.Instances; Import weka.filters.filter; Import weka.filters.unsupervised.attribute.Remove; Example train = ... example test = ... here I want to take only 25 out of 41 (i.e. column values). Classifier CFLs = New J48 (); Cls.buildClassifier (train); // Classification evaluation and print some statistics Evaluation Eval = new evaluation (train); Eval.evaluate model (CLS, exam); ...

Closed or circular Horizontal ListView Android -

Image
I have horizontal list view , I want the list view to be closed. For example, if the last item has reached Listview , show the first item below the last item that means the item should be in circular format. And if I scroll through the first object, then it should first show the last item before the item. I want scrolling for both sides. The image below can tell you what exactly i want This is showing 5 items in the first image and when scrolling list view , the item should be scrolled as shown Second Image Thanks in advance. According to your requirement you circular / infinite scrolling horizontal list view , This can help you. You need to update this library as per its requirement and change ImageView to any other that you want to scroll horizontally. Edit - The solution below works circularly on one side for scrolling list view: Apply it to see one Circular List Adapters And As Your List View Is Horizontal, check this to create custom custom horizo...

Can not Run Node.js server file -

I am new to node. Js. I have a nodesaver.js file which is below the code. var requires Express = ("Express"); var app = express (); Var ports = 60000; Var io = requires ('socket.io'). Listen (app.listen (port)); Console.log ("listen on ports" + port); Io.sockets.on ('connection', function (socket) {socket.emit ('message', {message: 'welcome to chat'}); socket.on ('send', function (data) {io Sockets.emit ('Message', Data);});}); When I run it from the command prompt, under the code D: \ path for my application> node node server. Js information - socket.io started listening to port 6000 but when I try to connect to this port By the browser, it shows me the error below at the command prompt D: \ path my application \ node_modules \ expres S \ lib \ application.js: 119 this._router.handle (req, res, function (err) {^ typeError: undefined method 'handle' can not call What do I do Am I wr...

java - Search for specific node in Abstract Syntax Tree -

I am trying to find specific nodes in AST (abstract syntax tree). The basic idea is: An AST has been parsed from the source code, which has approximately 10000 nodes. There is a list of 50 items, which I would like to find. AST Question: What is the best way to search for those 50 items in AST? Right now, I'm thinking of using the array list of those 50 items. Then, compare to Arrayel by going to AST and using each node loop. Is this a good idea in the period of performance? I want to make the operation faster, is there any other way to solve this problem? I will not use an arithmetist because it requires you to scan it every time and this It's just overhead. You can easily write 50 predictions as "P1 or P2 or ...." You can either search the tree once, to determine if you have an interesting node, or 50 times the tree, apply a point on each separate pass In, you have to run predictions, so they do not change the cost (note below) both ways. If y...

ios - How to use Storyboards with multiple segues to one view controller? -

Image
My app will use a simple login type selcector visual controller, and with that it will branch out to different view controllers , That is, sign up, sign in, and sign in with the social network. How do I add a single destination view controller from all of these? How do I add these multiple segments? Each view controller should have its own seq. To create, press "Ctrl" and you want to go to ViewController and every ViewController should implement "readyForSegue" - (zero) Prepare FORSegue: From the sender (UIStoryboardPopoverSegue *) Sender: (ID) Sender {If ([segue.destinationViewController IsKindOfClass: [MyDestinationVC class]]) {// doing something / example MyDestinationVC * screen = (MyDestinationVC *) segue.destinationViewController; Screen.someValue = self.sendedValue; }}

ios - Reachability test failed while network is on LTE -

और पहुंच योग्यता परीक्षण भी असफल रहा। लेकिन मैं अपने कुछ बैकएंड एपीआई को बिना मुद्दों के उपयोग कर सकते हैं। लेकिन ऐसा तब कभी नहीं होता जब मैं वाईफाई के साथ अपने ऐप का परीक्षण करता हूं। इस समस्या का क्या कारण हो सकता है? गम्यता परीक्षण के लिए कोड: - (IBAction) fbButtonPressed: (आईडी) इस {internetReachableFoo = [गम्यता reachabilityWithHostname: @ "http://www.google.com"]; // इंटरनेट पहुंच योग्य है __वेक आईडी कमजोर स्वयं = स्व; internetReachableFoo.reachableBlock = ^ (गम्यता * पहुंच) {// मुख्य थ्रेड dispatch_async पर यूआई अद्यतन (dispatch_get_main_queue (), ^ {[weakSelf showLoadingIndicators], [[उपयोगकर्ता sharedInstance] attemptToLoginToFB], [[Mixpanel sharedInstance] ट्रैक: @ " एफबी "];} द्वारा लॉगिन करने का प्रयास करें; }; // इंटरनेट पहुंच योग्य internetReachableFoo.unreachableBlock = ^ (गम्यता * पहुंच) नहीं (dispatch_get_main_queue (), है {// मुख्य थ्रेड dispatch_async पर यूआई अद्यतन ^ {UIAlertView * alertView = [[UIAlertView alloc] in...

jsp - redirect page invoked from java class -

If I'm not mistaken, then the Java web app is new to java. It happens that while learning Java web app I had the task of ending a certain project. So I am also not sure where I am right. I am facing this in the dilemma. It had a timer on a fixed Java class. Based on the timer count, pages per second, seems to redirect to the second page. To tell me more about what I want to achieve, refer to the following: The user redirects Page 1 after page 30 after the redirect to page 1 The timer is set to the Java class and not on the jsp file. Is there no way that Java class can issue a redirect command to the web browser? As far as I know it is very difficult to obtain without using the client side The problem is that communication between server and client works in response / response mode. This means that if the user requests a page, the controller prepares it and then it provides a customer service through feedback. To do this without any timeout, there is no problem with ...

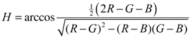
Calculate brighness, contrast, hue and saturation level in an image using java -

Image
How can we calculate the brightness, contract, color, and saturation numbers in an image using Java programming. Any formula, code snippet appreciated. You can use the HSV model to calculate the values, where H is Hue, s saturation And V is value (or glow) Here is the red, green and blue value of RGB pixels I assume that you are capable Some images Read with the help of the processing libraries.

javascript - Menu in WP doesnt show in IE-11 -

I have the next site: if you open In IE-11, you can see sub-men in the Can not header. Please help me understand it to fix it! Yes, I confirm that IE11 has a problem, but you specify it can do! Your CSS rule ul.art-hmenu ul :: before {} and ul.art-hmenu :: after, ul.art-hmenu ul :: in the important element sections. After {} (around the line 1059). The problem is that this rule is overwritten and incorrectly interpreted by IE. However, I think that you have your subject Artisteer software. Always check the updates for this software, as it may be it solve such issues in the future.

java - Hungarian Notation in Android Naming Conventions -

Therefore, I'm not a big fan. Today an Android developer of my company dropped official advice into Android development, and I was surprised by the fact that they find it useful to start all code names with m . I think, there is only one such case where this mSomeField name can be useful, the absence of code highlighting, in this case it is easy to see which variable Are local, and none of them is there. But these days no IDE can show it, right? So why are these rules and conventions necessary in the up-to-date Android code? UPDATE : OK, my bad, it seems that these suggestions are for contributors (in this case it makes sense, they want to keep the same way as coding. ). Anyway, I was told that it is often used in Android projects. If so, then the question is about those projects. You have to ask the original developers who are the standard for the project :) It completely speculates on my part But when you think that Android is built on Linux and it has a lot of C...

c# - VS 2012/2013 and .NET 4.5 Query -

I am planning to install VS 2012 or 2013 and I was wondering if Net 4.5 is installed with it Will you? I think this will happen, but then what will happen to all my app's target 4.0 platform? So my question is, when I install VS, are my old apps elements of .NET 4.5 in the Target platform 4? For example, 4.5 there is some improvement in the type string or something that is not 4.0. Can I build against the target platform as compared to 4.0? I already want to avoid some strange behavior in existing projects because I am currently running Visual Studio 2013. > Any experience on this one person? Sorry for the case of a duplicate question If you have a .NET 4.0 , Your code will not be able to access those types that are specific to .NET 4.5 or .NET 4.5.1. However, your code is running running against .NET 4.5. This is only a problem if you do not test against .NET 4.0. In that case, you may find that the bug has been fixed in .NET 4.5, but your users can still use...

oauth - Coinbase API revoke token -

Is there any way to cancel the coin's oyken token? The Coinbase documentation says that after 2 hours the token has been canceled, but I want my users to access at any time. I do not think there is a way to do this through the API, but you can link to your users How can they use themselves?

cassandra - Terminating sstableloader while waiting for secondary index build to complete -

After the above, it is safe to end the sstableloader process (SIGINT, etc.) while waiting for it to build secondary index Is doing it? That is, after the creation of the secondary index does the equipment perform any other important action? If I do not allow the device to come out of the self, then can the import be brought back? If it is safe to end the sstableloader process, then has not created the secondary index of the previous example yet? Finally, is there a way to make the index asynchronous so that the device will not wait to finish it before it ends? EDIT: If this is not safe to terminate the sstableloader process, can I at least stop the index creation process through 'Nodeset off INDEX_BUILD' Am I Will it cause the sstableloader to exit properly? Will the revised index be retried automatically in the background? There will be no bad effect of the SSBLodder, by eliminating it, you can do it without worrying about data corruption Bar can run on the sa...

arrays - PHP Greatly speed up execution time of my script -

I have a heavy script that we go a lot, the algorithm below has been used: Load 4500 rows from the database and store them as an array (A) Load 600000 rows from the database and place them in the array Store in the form. (B) (A) looks for a match (B) for each element. Next, the maximum amount of this script is 4500 * 60 000, which is 270 million, so you can understand that it may be a bit sweat for PHP. Can I make this process efficient in any way? Reading rows from the database is not really an issue, this array is iterative which brings huge cost. It works very fast, but a factor (60000) will increase greatly in the coming years. Any ideas? Here are a few different answers. My guess is that the first one is correct, easy and sufficient, But it is very difficult to make sure. Possible answer 1: Use of SQL As the comments indicate, it looks like a lot to be included. Apart from this, your post indicates that when a match is received, you only take on...

php - How do i convert videos uploaded by user to .swf? -

I am creating a website that is able to log in and post blogs and ideas and media such as pictures and videos. But we know that users can upload any type of video but the browser can not run them, so I thought I could convert them in some form. Play them using SWF and a flash player. I tried to use ffmpeg-php but it did not work. My code was: shell_exec ('ffmpeg -i in.mp4 out.swf'); It does not show any error, neither does it out.swf . So, I thought I could get your help. Please! help me. To check things: Does the in.mp4 file actually exist on the server and is it in the right temporary folder? Check the boundaries of that file size ( upload_max_filesize PHP settings) are not hit. Does the ffmpeg command work from Shell Promiti as a user running as a webserver ? (Use this verbose logging option to check the errors ( Capture all the output from shell_exec and check for errors. Try to use system or exec , where you can also capture...

iis 7 - How to host a website in iis7 with www.abc123.com? -

I'm new to hosting the website. I have hosted the website in my local machine which is fine. I am able to use the applicability with localhost / abc.html. Now I am trying to reach with some names like www.abcsite.com. For this, I have hosted the hostname of the website with the port number, but in this case I can not browse the website. Please help me in this regard. I have mentioned many sites but are not able to solve this problem. You probably should be more accurate in saying what is wrong, but I will try it If you have a hosting contract with a few webhosting companies (ISPs), then you will have FTP access. You just use some FTP programs (like Flickshala) and upload abc.html to the root of your website. Www.abcsite.com/abc.html will then provide the same results on your local host (depending on this requirement further). Normally you can start a website with a default page, which you can set / select, or can be fixed by your ISP, usually the default .htm or index.ht...

c# - How pass Array to action with Ajax.ActionLink from view? -

I am using razor for a controller and passing the array. The array contains the type of string. Example array in the view: @ {. . . String [] Mainstatus = Vybug.mnus; }. . @ Ajax Exynalink ("Lincoln", Action-name, ControllerName, New {status = menustatus}, New Ajax option {HttpMethod = "Post"}, blank) My controller is: Public action ActoinName (parameter string [] position) {} The status variable contains the value of "system.string []". I hope the array values ​​are sent to the action. You can not arrange them in the ActionLink like this. Because by default mvc.net calls toString method and it returns system.string [] . But you can use two alternative methods. Before joining, first join the array of stars, and then divide them into the array (in the controller) like: ... new {status = String.Join (";", Mainstatus)) ... In view and in this controller: Public action ActoinName (string allstats) {var status = allS...

asp.net mvc 4 - MVC Routing with multiple parameters is not working -

हे सभी मैं दो कस्टम मार्गों को जोड़ा गया routes.MapRoute ("ParentCat", " {PCat} / {id} ", नया {नियंत्रक =" जोड़ता है ", क्रिया =" विस्तारवाधित ", PCAT = UrlParameter.Optional, id = UrlParameter.Optional}); मार्गों ("उपकैटा", "{PCat} / {SCat} / {id}", नया {नियंत्रक = "जोड़ता है", क्रिया = "विस्तारवाधित", PCat = UrlParameter.Optional, SCAT = UrlParameter.Optional, id = UrlParameter.Optional}); यूआरएल के लिए लोकलहोस्ट: 2110 / श्रेणी / एडिड & amp; लोकलहोस्ट: 2110 / श्रेणी / उप-श्रेणी / एडइड लेकिन कस्टम रूट की विस्तारवाही कार्रवाई में डीबगर सीधे चालें और रोकता है और यहां तक ​​कि मेरे डिफ़ॉल्ट रूट पर भी routes.MapRoute (नाम: "डिफ़ॉल्ट", url: "{controller} / {action} / {id}", डिफ़ॉल्ट: नया {नियंत्रक = "होम", एक्शन = "इंडेक्स", id = UrlParameter.Optional }); मुझे रुट्स। नक्शा मार्ग (नाम: "उपकैटा", url: "{PCat} ...

menubar - Menu become fix header on scroll but under header images -

My menu is precisely header scrolling, but it scrolls beneath the images in the header menu How to get these pictures to the menu Do you? You can see the index CSS z- Your # menu element assets # menu {z-index: 10; }

python - Nested if; how to proceed to the next elif from true if -

I'm learning "dragon hard way", my first programming language is also "block" inside the "if" block I'm trying to find out on the next "Alif" block. I have written a small example: door = raw_input ("& gt;") if door == "1": door == "2" alif door == "2": Printed "Red Yes." Inside my actual code, if I block another if \ elif inside the "if" block, and inside one of them I would start an if \ elif condition I want to set up Alif, ie (Elif door == '2') In the short example given above, I should have the output: "& gt; 1 Lol yeah. " I am sorry if that was not clear enough. Try the following: door = raw_input ("& gt; ; ") If door ==" 1 ": door =" 2 "if door ==" 2 ": print" lol yeah. " if / elif is conditional, it means that if if -clause is executed first, then elif is no...

javascript - Ajax starts too late... Really inconvenient -

इस सवाल का पहले से ही एक उत्तर है: मुझे AJAX के साथ यह समस्या है / p> var ajax HTML; फ़ंक्शन रनकोड (एआरआर) {यदि (str == 'SubmitB' || str == 'SubmitC' || str == 'SubmitD') {उत्पन्न HTML (str); } और {$ ('# होल्डर 1')। Html (""); $ ( '# Holder2') एचटीएमएल ( "")। $ ( "# Container_demo") fadeOut (500)। setTimeout (function () {$ ( "# menu_container") एचटीएमएल (generateHTML (एसटीआर))।}, 500); $ ( "# Container_demo") fadein (500)। }} समारोह उत्पन्न एचटीएमएल (स्रोत) {यदि (स्रोत == 'डी') {makeSchoolComboBox () करें "कृपया एक स्तर का चयन करें: & lt; आईडी चुनें '' चयनित लेवल '& gt; & lt; विकल्प मान =' स्तर 1 '& gt; एल 1 और लेफ्टिनेंट ; विकल्प / = & quot; विकल्प मूल्य = 'स्तर 2' ; / Select & gt; & lt; br & gt; & lt; बटन आईडी = 'आर' onClick = 'runCode (this.id)' & gt; वापस जाएं & lt; / बटन ...

python - Running median of y-values over a range of x -

Image
Below is a scattering plot that I have made with two oval arrays. Scatter plot example d Want to add to this plot a moving average of y I have photoshop in an example: Modified scatter plot Specifically, let me know the two values F x axis with 1 need mid-point data in the unit compartment (this range will vary among the many plots, but I can do it manually adjusted). I appreciate any suggestions that can tell me in the right direction. I will use for bin sorting for you. This way you can easily apply any function and set the category that you are interested in. Import as imported pilab plt n = 2000 total_bins = 10 # sample data x = np.random random (size = n) * 10 y = x ** 2 + np. Random.random (size = n) * x * 10 bins = np.linspace (X.min (), x max (), total_bins) delta = bins [1] -bins [0] idx = np.digitize (x, Cans) Running_media = [NP. Kt (total_bins)] in the category for the media (y [idx == k]) plt.scatter (x, y, color = 'k', alpha = .2, s = 2) plt.p...

javascript - grunt autoprefixer configuration -

I have some stiff jobs, including grunt-autofficifier , all functions work without errors So, autoprefixer is working but no prefix is ​​included in my CSS rules. What do I miss / wrong? My GrantFile option: AutoFirefixer: {option: {Browser: ['ie & gt; 7 ',' FF & gt; 3.4 '] // Simply to test the task} src:' & lt;% = globalConfig.css diaper% & gt; / * .css ', dest:' & lt;% = globalConfig.css direct% & gt; / * .css'}, Then I'll run grunt.loadNpmTasks ('grunt-autoprefixer'); Grunt.registerTask ('Default', ['Eugly', 'SAS', 'AutoPfixer', 'Watch']); And as I have mentioned without any mistake - So far 4 source files are in my CSS and also show process 4 processed console CSS rules that may already be: Eg Box-Shadow, Limit-Radius, Linear-Slope But no changes have been made to my CSS files, the prefixes have not been added. help? : -) Can you try and also ensure t...

yaws - Strange Error occurance in Erlang rfc4627 -

{ठीक है, RequestData, _} = rfc4627: डीकोड (Arg # arg.clidata) जब यह आरएफसी 4627: डीकोड (Arg # arg.clidata) के आउटपुट से मेल खाता है to {ok, RequestData, _} यह एक {badmatch, ....} त्रुटि देता है लेकिन मैंने त्रुटि संदेश में आउटपुट को कॉपी किया और किसी भी त्रुटि के बिना {ठीक है, अनुरोधडेटा, _} से मिलान किया जाता है। यह त्रुटि केवल बेतरतीब ढंग से होती है मैं एक कारण समझ नहीं सकता कभी-कभी यह मैच और कोड बिना किसी त्रुटि के काम करता है और कभी-कभी यह त्रुटि और याज़ कोड क्रैश देता है। यह त्रुटि संदेश है & lt; h2 & gt; आंतरिक त्रुटि, याओ कोड क्रैश हुआ & lt; / h2 & gt; & lt; br / & gt; & lt; घंटा / & gt; & LT; पूर्व & gt; त्रुटि erlang कोड एक uncaught अपवाद फेंक दिया: फ़ाइल: /usr/local/var/yaws/www/prime/yaws/session.yaws:1 कक्षा: त्रुटि अपवाद: {badmatch, {ok, {obj, [{"कार्रवाई", & Lt; & lt; "GET_SESSION_INFO" & gt; & gt;}}, []}} अनुरोध: {http_request, 'POST', {abs_path, "/...

c# - Using URL routing with querystring parameter cause error to load all .png/.jpg images In ASP.NET 4.0 -

I am trying to implement URL Routing on my web application When I apply it on a page that does not have any QueryStrings , it is working fine. But when I try to apply the same for a web page, the JScript runtime error by using query strings. & lt;% = ResolveClientUrl (" ~ / Raphl_map / raphael-min.js ")%> Type = "text / javascript" & gt; & Lt; / Script & gt; Now in my Ajax call, I generate dynamic tags with the urlpath related to dynamically and facing the problem for those dynamic images, AJAX on success response Adding Le element to the loop var elAdd = "& lt; li class =" + id_setClass + "& gt; & lt; img src =" + photo_src + " /> Gt; & lt; / li & gt ;, "; . ("# Ul_itemlist") $ enclosed (elAdd); Global.asax Empty register routes {// routes.gnore ("{file}." Png "); // way. Unknown route ("{file} .png"); // way. Unblock (...

How to create folder in android -

I am stuck with the build of a folder in my mobile (Micromax canvas 2). Please remove me where I made a mistake. file folder = new file (environment .getExternalStorageDirectory (+ + "/ example"); Boolean success = true; If (! Folder.exists ()) {success = folder.mkdirs (); } If (success) {Toast. GetApplicationContext, "Success", Toast. LNNHH_LOG). Show (); } Other {Toast. Make Text (getApplicationContext (), "Failure", Toast. LNNHHLog) Show (); } Permission: & lt; Usage-permission Android: name = "android.permission.WRITE_EXTERNAL_STORAGE" /> file f1 = new file (GetApplicationContext (.) GetFilesDir () + ""); Fol = new file (F1, "picture"); If (! Fol.exists ()) {fol.mkdir (); }

javascript - Allow only numbers to be typed in a textbox - default to zero -

How can it be modified that if a user does not enter a number, the number 0 will be entered in the text field, Thank you in advance: function isNumber (evt) {evt = (evt)? Evt: window.event; Var charCode = (evt.which)? Evt.which: evt.keyCode; If (charcod> 31 and & quot; charcoda & lt; 48; charcode & gt; 57)} {return false; } Back true; } If a user does not enter a number, then the text will be entered in the 0 Field & lt; Input type = "text" id = "numeric" value = "0" onclick = "this.value = '' onblur =" if (this.value == '') {This.value = '0'} "/ & Gt; Regex for numbers only. $ ('# numeric'). ('Input', function (event) {this.value = this .value.replace (/ [^ 0- 9] / g, '');});

javascript - ExtJS manipulating propertygrid source information -

I am using a property grid in an even way, in a grid tribute to generate an AJAX request Providing a button, passing the back-end function to the source information that runs a SQL script. The process of getting back-end to source information is proving difficult, though; Looking at the information in the Browser Debug Console, the result shows that it can be weighted (sample information from the console below): [cnc: "", cutter_id: "", dimension : "", Id: "71", internal_finish: "standard white", item_key: "4", Material_ID: "N / A", Production_Item_Type_ID: "frame (s)", production_note: "", quantity: "1 "Individual items can be selected, that is, I can get and set: Ready_by_Date:" 31 Dec 2014 ", Survey_Notes:" ", Thickness_Depth:" 95 ", Type_of_Work_ID:" Complete New "] Source ['Quantity'] , for example. However, I can not pr...

how to put JavaScript code in a java String variable -

मेरे पास जावास्क्रिप्ट कोड है उदाहरण: & lt; script type = "text / javascript" & gt; AJS। $ ("# Customfield_10306 विकल्प [मान = '- 1']")। निकालें (); (फ़ंक्शन ($) {नई एजेएस। मल्टी सिलेक्ट ({तत्व: $ ("# कस्टमफ़िल्ड_10306"), आइटमअट्रप्रदर्शित: "लेबल", त्रुटि संदेश: AJS.params.multiselectComponentsError});}) (एजेएस। $); & Lt; / स्क्रिप्ट & gt; मैं इसे जावा स्ट्रिंग प्रकार में रखना चाहूंगा। तो, स्ट्रिंग कुछ कोड = जावा स्क्रिप्ट कोड के ऊपर सभी जेएस कोड को एक पंक्ति में उद्धरण और \ हर जगह उपयोग करने के बजाय यह करने का एक त्वरित और अच्छा तरीका क्या है? धन्यवाद आप यहां कुछ तर्क लागू कर सकते हैं एक फ़ाइल में अपने सभी जावास्क्रिप्ट कोड डाल आईओ की मदद से जावा कोड में फाइल को पढ़ें और उन्हें एक स्ट्रिंग में डाल अब स्ट्रिंग फ़ाइल में लिखित जावास्क्रिप्ट से भरा है। यदि आप ऐसा करेंगे तो आपका कोड गतिशील होगा और आप किसी भी समय जावास्क्रिप्ट कोड बदल सकते हैं। कोई जावा संकलन आवश्यक नहीं होगा।

python - Numpy.savetxt() function -

मेरे पास कई कॉलम वाला एक टेबल है और इसे numpy.savetxt 'Test.txt', test, fmt = '% f') मैं केवल अंतिम कॉलम को फ्लोट प्रारूप में सहेजना चाहता हूं, अन्य सभी कॉलम पूर्णांक होना चाहिए ... उदाहरण के लिए 1 1 1 0.5 1 2 2 0.3 । । । मैं अपने savetxt फ़ंक्शन को कैसे बड़ा कर सकता हूँ या कुछ विकल्प का उपयोग कर सकता हूँ? अग्रिम में आपका धन्यवाद! एफएमटी इस तरह एक सरणी हो सकती है: numpy.savetxt ('test.txt', test, fmt = ['% d', '% d', '% d', '% f'])

objective c - Barcode Scanner in iOS -

I used the AV Foundation framework for barcode scanning functionality. Session = [[A Wikipedia session] Allok] Init]; Device = [AVCaptureDevice default DeviceWithMediaType: AVMediaTypeVideo]; NSError * Error = Zero; Input = [AVCaptureDeviceInput DeviceInputWidth Device: Device Error: & amp; Error]; If (input) {[session addInput: input]; } Else {NSLog (@ "error:% @", error); } Output = [[AVCaptureMetadataOutput alloc] init]; [Output SetmetaDataobjectDiilitates: Self-queue: Dispatch_Get_man_quo ()]; [Session addOutput: output]; output.metadataObjectTypes = [Output Available MetadataObjectTypes]; Prelayer = [A vectaptive video previewlayer layer description: session]; PrevLayer.frame = self.view.bounds; Using the delicate method, I will get the barcode result ie i. Barcode number - (zero) captureOutput: (AVCaptureOutput *) captureOutput didOutputMetadataObjects: (NSArray * ) metadataObjects fromConnection: (AVCaptureConnection *) connection {CGRect highlightView...

Android, NullPointerException on method with SQLite command in Service -

There is only one job, why are the commands in my SQLite methods, when IAM is calling it from service to me writing a nullpointerexception ? ... when I try to use toast, it works perfectly, but when I use mDbHelper.open/naplnSviatky/close, my app will crash. There are only query commands in those methods, and the activities and pieces work well. Here my service public class enhances SviatokFullFillService service {string user name; Private database access MDB Helper; @Ivarried Public Ibner on Bint (Intent Intent) {// TODO Auto-generated method stub returns empty; } @ Override Public Wide Onstart (Artist Incent, IntstartID) {// Todo Auto-Generated Method Stub, Shared Presentations Shared Preferences = PreferenceManager.getDefaultSharedPreferences (this); Username = Shared PuffmastString ("pref ezmman", "knol"); //Toast.makeText (this, user name, toast.lNGTH_SHORT). Show (); MDbHelper.open (); MDbHelper.naplnSviatky (username); MDbHelper.close (); }} T...

asp.net mvc - MVC "LogOut" controller causes "The resource cannot be found." error when using "ValidateAntiForgeryToken" attribute -

When I add the "ValidateAntiForgeryToken" attribute to my LoggOff controller, it does not map to my controller and can not be "resource Got it. " Error. What's the problem? Here's my controller: // POST [httpOOST] [legitimate antiforrhitine] public action logog logoff () {authentication manager. Signature (); Redirect Action ("Index", "Home"); } This is my view: @ Microsoft.AspNet.Identity @ (Request.IsAuthenticated) {using (Html.BeginForm ("LogOff "," Account ", FormMethod.Post, new {id =" __RequestVerificationToken ", @class =" navbar-right "})) {@ Html.AntiForgeryToken () & lt; Ul class = "nav navbar-nav navbar-right" & gt; & Lt; Li & gt; @html.exeNlink ("User:" + UserEidentity.NETAARNAM (), "Management", "Account", Root Value: blank, HTMLAttives: New {title = "Management"}) & lt; / li & gt; & Lt; Li & ...

android - How to dismiss the keyboard in appium using Java? -

This code is just to find text boxes and send some text to it. When this happens that the keyboard appears on Android device. How to dismiss it after dismissing it. @Test Public static zero test_demo () throws an exception {WebElement element = driver.findElement (by ID ("mytextfield")); Element.sendKeys ("test"); // How can I dismiss the keyboard that appears on my Android device after the sendkeys? } driver.hideKeyboard () will only work with AppiumDriver . I am using java-client-2.2.0.jar which has this capability.

c# - Enter data in web form, output to a new page -

I have a simple & lt; Form & gt; , clicking on a simple button to enter user data: & lt; Input type = "submit" name = "cmd" value = "OK" & gt; . Currently this application returns a simple post, fills the form, and displays the results under the form. Now users have to go to the second page results. Basically they want to change a variable and compare results to different tabs. My first proposal was to keep the post back and then push the results to a different tab using a target = "_ blank" , but they do not like the two-click: OK Button then hyperlink Is it possible to send results of form inputs to any other page? I am programming ASP.NET in C #. You can do this by postbackurl property in C #. This way you help access your previous page controls and output on the next page. You can also do it by using hidden areas and posts or by getting the method. Both options are good and reliable

uiactivityviewcontroller - ios different image sizes for UIActivity subclass -

The IOS document states that the UITTT sub-class is available in various formats for iPhone, iPad and iOS 6, iOS 7, Activity image 'image should be returned. For the iPhone and iPod touch, the images on iOS 7 should be 60 by 60 numbers; On previous versions of iOS you should use more than 43 images compared to 43 digits. For iPad, the image on iOS 7 should be 76 by 76 numbers; On previous versions of iOS you do not want a bigger picture than 60 to 60 points. The number of pixels in each direction is doubled on devices with retina display. What is the correct way to return an image: Device / Eye to return the iPhone / iPad and IOS 6 / iOS 7 Create after block. I think this is not the best way. Name the images after the naming convention (like the prefix ~ iPhone, iPad, ....), then we just have the image system with a name in coding automatically Correct image file corresponds to. I think this is the best way, but I do not know the naming convention. How should I...

html - If condition in angularjs for ng-grid -

I am working on the angularjs page. I have the following code. columnDefs: [{field: 'dt', displayName: 'date', width: '***', cellfilter: 'date: \ "DD-MMM -yyy \' '} , {Field: 'dt', displayName: 'time', width: '***', cellfilter: 'date: \ "HH: mm: SS \"'}, {field: 'RL', 'display name: 'Importance', width: '80px'}, {field: 'av', display name: 'event', width: '******'}, {field: 'task', displayName: 'ac', width : '**'}, {field: 'ftt', display_name: 'fc', width: '**'}, {field: 'fl', sortable: true, displayname: 'country', cell Emplet: '& Lt; Div class = "ngCellText" ng-class = "col.colIndex ()" & gt; & Lt; Span ng-cell-text & gt; Img class = "flag" src = "c: / country_images / 1 jpg}" & lt; / Img & gt; & Lt; / Div ...

ClassNotFoundException StrutsPrepareAndExecuteFilter in struts2 -

Image
इस सवाल का पहले से ही एक उत्तर है: 3 जवाब मुझे यह त्रुटि मिली जब शुरू अप्प। SEVERE: फ़िल्टर struts2 java.lang.ClassNotFoundException प्रारंभ करने की अपवाद: org.apache.struts2.dispatcher.ng.filter.StrutsPrepareAndExecuteFilter और सर्वर ने दिया यह त्रुटि एक पंक्ति में दो बार मुझे वेब-एनएफ़ / बीबी में स्ट्रश 2-कोर-2.3.15.2.jar है और बिल्ड पथ में आयात किया जाता है .. मुझे समझ में नहीं आ रहा है क्यों StrutsPrepareAndExecuteFilter नहीं मिल सकता है। आवेदन शुरू कर सकते हैं। वह कोई समस्या नहीं। समस्या इस त्रुटि के कारण है, struts2 कार्रवाई पुनर्निर्देशित नहीं कर सकता। मैं टॉमकैट 7 और struts2 2.3.16 का उपयोग करें Cuz यह टॉमकेट है 7, सर्विस-एपीआई 3.0 नहीं है मुझे लगता है। मैंने टॉमकैट / बीबीएल में सर्विसलेट-एपीआई -300 डालने की कोशिश की निम्न न्यूनतम जार आपके वर्गपथ पर होना चाहिए: asm-3.3.jar asm-commons-3.3.jar asm-tree-3.3.jar कॉमर्स- fileupload-1.3.jar कॉमन्स-io-2.2.jar कॉमन्स-लैंग 3 -3.1.jar कॉमन्स-लॉगिंग-1.1.3.जर फ्रीमार्कर-2.3.19.ज...

c# - Dependency Property Call in code behind -

I created custom user controls with some dependency properties. This custom control is hosted on a window. When I try to get a value from a DependecyProperty in the code behind it, then it does not work. Public static read-only dependency property ValueDp = DependencyProperty.Register ("value", typef (string), typef (microprogram user control), New Framework Property Metatata (string. Api, output handler)); Public string value {get {return (string) GetValue (ValueDp); } Set {Set Value (ValueDp, Value); }} Private Static Zero Output Handler (Dependency Object Dependency Object, Associations on Dependency Properties, Dependency Project, Event Arguments) {var temp = Dependency Object MyCustomUserControl; If (temp! = Null) {dependency object.setValue (ValueDp, temp._conversionValue); }} I have put a button on the host and when I click on it, I want to read the value stored in the DP, but I will always get the default value in the DP. Any thoughts that I'm doing w...

android - How to get the cordova jar from cordova 3.3.0? -

I have developed an Android app in PhoneGrap. For this, I used Cordova 2.9.0 and evolved in eclipse I now want to upgrade the Cordova from 2.9.0 to 3.3.0, but I can not find Cordova jar in Cordova 3.3.0. I am trying very hard to get Cordoba Jar form 3.3.0 but did not get the jar. Question 1. What is the other way to get Cordova jar from Cordova -3.3.0? Please give me some solution Thanks in advance PhoneGrap / Cordova project structure and workflow have changed significantly One of the recent changes for Bit 2.x to 3.x versions has been included in the CordovaLab project, including pre-compiled. Instead of adding classroom classes, every newly created project is included. In this way, you will not find Cordova.Which you are searching for in version 3.3. The easiest way to upgrade can be to create a new 3.x project with a scratch and it will be able to access its existing assets / resources. It is explained in detail here (for Android): Best.

Black video while working with ip camera in webview android -

I want to display an IP camera video in the Android application. I am using a webview for this. In my smartphone's navigator I can see and control the webcam, but the webview is always black in the video and the control does not work. This is the source code of my activity: enhances public class Menaktiviti activity (private webview webview; public void Crete (bundle saved Instansstet) {Suprknkret (saved Instensstet); setContentView (R.layout.fragment_main); webview = (webview) searches Vivibiaiaidi (RID. Vision); WebView.setWebChromeClient (new WebChromeClient ()); webView .setWebViewClient (new myWebViewClient ()); WebView.setHttpAuthUsernamePassword ( "http://192.168.1.2/", nULL, "administrator "TAP); webView.getSettings () setJavaScriptEnabled (right).. WebView.getSettings () setPluginState (PluginState.ON); webView.loadUrl (" http://192.168.1.2/ ");} public class myWebViewClient WebViewClient Improves {@ override public boolean should Ovr...

php - Custom error response without htaccess -

I know how to create a custom error page using an APAC's HTAC file: ErrorDocument 403 /error.php ErrorDocument 404 /error.php ErrorDocument 500 /error.php But is it possible to have a custom error page without using the htaccess file? I have access to the server and all its settings You can get the same code within your Apache virtualhost You can use; It will have the same behavior.

ios - index 1 beyond bounds [0 .. 0] Crashing while scrolls down -

I have five sections in my table detail. My (section == 4) I display from my array. When I scroll down it crashed *** decline to terminate the application because of exception "Ansarenj Akspasn ', reason:' *** - [__ Ansaaraaiai Objektatindaks]: Index range beyond 1 [0 .. 0] my code: - (NSInteger) table Views: (UITableView *) table view Snkyaofrojh Insakshn: (NSInteger) section {if (section == 4) {Returns [Mandre Count]; }} - (UITableViewCell *) Talikadrishy: (UITableView *) Table View Selforaatindpath: (NSIndexPath *) Indekspath {if (indexPath.section == 4} {[self.label setNumberOfLines: 10]; [Self.label setText: [NSString stringWithFormat: @ "% i.% @", IndexPath.row + 1, [mandArray Objektatindeks: Indekspathkro]]]; [Cell.contentView Add Subview: label];} return cell;} - (CGFloat) Talikadrishy: (UITableView *) Talikauchc Oochaiforaatindappath: (Ansaianaksapath *) Indekspeth {if (indexPath.section == 4) {return [Mandare count] * 20;}} code mentione...

c++ - Disable clamping in glCopyTexSubImage2D -

I am trying to use OpenGL as the following: Floating one off -Print attachment of screen frame buffer allocate a blank texture object with the same format and dimensions as a colorful attachment Copy the pixel into the texture in a color attachment As soon as possible I'm using the OpenGL function glCopyTexSubImage2D to copy Not. However I found out that the duplicated values ​​are kept between 0 and 1 in the destination texture. Right now I am using OpenLL 3.3, but I will have to close it later in OpenGL 2.0, so I can not use pixel buffer objects. Before copying any one, I am using the following initialization code: glClampColor (GL_CLAMP_READ_COLOR, GL_FALSE); GlClampColor (GL_CLAMP_VERTEX_COLOR, GL_FALSE); GlClampColor (GL_CLAMP_FRAGMENT_COLOR, GL_FALSE); Disables clamping for glReadPixels but there is no effect on glCopyTexSubImage2D . To disable this clamping in any way glCopyTexSubImage2D , edit : This is an image processing application For ...